배관 설계나 펌프 계산을 처음 접하면 꼭 등장하는 단어들이 있습니다.
바로 정압, 동압, 전압입니다.
처음에는 전부 “압력”이라고 부르는데, 왜 이렇게 나눠서 부르는지 헷갈리기 쉽습니다.
특히 교재나 자료를 보면
“정압은 정지 상태의 압력이다”,
“동압은 속도에 의한 압력이다”
이런 식으로 설명되어 있어서, 읽고 나면 더 헷갈리는 경우도 많습니다.
이 글에서는
✔ 왜 압력을 세 가지로 나누는지
✔ 각각이 실제로 무엇을 의미하는지
✔ 배관·펌프 계산에서 어떻게 쓰이는지
를 공식 + 직관적인 예시 + 실무 관점으로 정리해보겠습니다.
1. 압력은 하나인데, 왜 정압·동압·전압으로 나눌까?
유체가 흐를 때를 생각해보면,
단순히 “누르고 있다”라는 개념 하나로 설명하기 어렵습니다.
유체에는
- 가만히 있어도 벽을 누르는 힘이 있고
- 빠르게 움직이면서 생기는 힘이 있으며
- 이 모든 에너지를 합친 전체 에너지가 존재합니다
이걸 구분해서 보기 위해 등장한 개념이
정압(Static Pressure), 동압(Dynamic Pressure), 전압(Total Pressure) 입니다.

2. 정압(Static Pressure)이란?
정압은 유체가 벽이나 관을 밀고 있는 순수한 압력입니다.
유체가 흐르고 있든, 멈춰 있든 항상 존재합니다.
쉽게 말하면,
배관을 손으로 눌렀을 때 느껴지는 압력
압력계(게이지)가 실제로 읽는 압력이 대부분 정압입니다.
정압의 특징
- 속도와 직접적인 관련 없음
- 배관, 탱크, 벽면에 작용
- 압력계로 바로 측정 가능
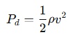
동압(Dynamic Pressure)이란?
동압은 유체가 흐르면서 생기는 운동 에너지에 해당하는 압력입니다.
즉, 속도가 있을 때만 존재합니다.
정지된 물에는 동압이 없습니다.
하지만 유속이 빨라질수록 동압은 커집니다.
동압은 아래 공식으로 표현됩니다.

변수 설명
- Pd : 동압 (Pa)
- ρ : 유체 밀도 (kg/m³)
- v : 유속 (m/s)
이 공식이 의미하는 것
- 속도가 2배가 되면 동압은 4배
- 유속 증가 → 에너지 증가 → 손실 증가
그래서 배관 설계에서
“유속을 너무 높이지 말라”고 하는 이유가 여기에 있습니다.


전압(Total Pressure)이란?
전압은 정압 + 동압을 합친 전체 압력 에너지입니다.
즉, 유체가 가진 모든 압력 에너지의 합입니다.
수식으로 표현하면 다음과 같습니다.

- Pt: 전압
- Ps: 정압
- 나머지 항은 동압
전압의 의미
- 유체가 가지고 있는 총 에너지
- 팬, 펌프 성능곡선에서 기준이 되는 값
- 손실이 없으면 전압은 유지됨
📌 정압·동압·전압 관계 다이어그램

실생활 예제로 이해해보기
예시 1: 물총
- 물총을 가만히 들고 있을 때 → 정압만 존재
- 방아쇠를 당겨 물이 빠르게 나갈 때 → 동압 증가
- 물줄기의 전체 힘 → 전압
예시 2: 배관이 좁아질 때
- 관이 좁아지면 유속 증가
- 동압 증가
- 정압 감소
- 하지만 전압은 거의 동일 (손실 무시 시)
이게 바로 베르누이 방정식의 핵심 개념입니다.
배관·펌프 설계에서 왜 중요한가?
실무에서는 이 세 가지 압력이 이렇게 쓰입니다.
| 구분 | 주 용도 |
| 정압 | 배관 내 압력, 누설, 구조 설계 |
| 동압 | 손실 계산, 유속 제한 |
| 전압 | 펌프·팬 성능 비교 |
특히 펌프 성능곡선을 볼 때
“양정”은 사실상 전압 기준 에너지라고 이해하면 훨씬 쉽습니다.
정리하면서 꼭 기억하면 좋은 포인트
- 정압은 벽을 누르는 압력
- 동압은 속도 때문에 생기는 압력
- 전압은 전체 에너지의 합
- 유속이 커질수록 동압과 손실이 급격히 증가
- 실무에서는 전압 개념으로 장비를 비교
이 개념만 제대로 잡혀도
배관 손실 계산, 펌프 선정, 팬 풍량 계산이 훨씬 수월해집니다.
'1. 기계공학 기초 (Fundamentals) > 열역학 & 유체역학' 카테고리의 다른 글
| 열역학의 기초: 엔탈피 · 엔트로피를 가장 쉽게 설명하기 (0) | 2025.11.15 |
|---|