관성모멘트라는 말을 처음 들었을 때 “이게 뭐지?”라고 생각했던 분들이 많으실 거예요.
저 역시 대학 초반에는 질량 중심, 토크, 관성 같은 단어들이 뒤죽박죽 섞여서 굉장히 헷갈렸습니다.
그런데 흥미로운 점은, 이 개념을 한 번 제대로 이해하고 나니까 세탁기, 자동차 바퀴, 문을 여는 느낌까지 전부 다르게 보이더라고요.
오늘은 동역학에서 정말 중요한 관성모멘트(moment of inertia)와 회전운동(rotational motion)을 아주 직관적으로 풀어보겠습니다.
공식도 나오지만, 어렵지 않게 예시와 함께 설명드릴 테니 편하게 읽으시면 됩니다.
💡관성모멘트란 무엇일까?
1) 관성모멘트의 기본 개념
회전하는 물체는 왜 어떤 것은 쉽게 돌고, 어떤 것은 무겁게 느껴질까요?
그걸 결정하는 것이 바로 관성모멘트(I)입니다.
선형 운동에서 질량(m)이 “움직이기 어렵게 만드는 정도”라면,
회전 운동에서는 관성모멘트(I)가 “회전하기 어렵게 만드는 정도”를 나타냅니다.
즉,
관성모멘트 = 회전에 대한 관성(저항)의 크기
2) 관성모멘트의 공식
기본적인 관성모멘트 공식은 아래와 같습니다.

- m: 질량
- : 회전축에서 떨어진 거리
쉽게 말하면, 질량이 회전축에서 멀리 있을수록 회전하기 더 힘들다는 뜻입니다.
그래서 똑같은 질량이라도 배치가 다르면 관성모멘트가 크게 달라집니다.
3) 직관적 예시
예를 들어보겠습니다.
- 한 손에 덤벨을 쥐고 팔을 쭉 편 상태에서 돌려보세요.
- 이번에는 덤벨을 가슴 가까이에 붙이고 돌려보세요.
어떤 상태가 더 힘들게 느껴지나요?
당연히 팔을 편 상태입니다.
왜냐하면 덤벨이 회전축(어깨)에서 멀어져 r 값이 커지고, 결과적으로 관성모멘트가 커지기 때문입니다.
4) 피겨스케이터 회전 속도
손을 몸쪽으로 모으면 r이 줄어들고,
관성모멘트 I도 줄어들기 때문에 회전 속도(각속도)가 증가합니다.
이것은 각운동량 보존 법칙 때문입니다.

- L : 각운동량
- I : 관성모멘트
- ω : 각속도
즉, I가 줄어들면 ω는 증가해야 합니다.
💡 대표적인 관성모멘트 공식들
몇 가지 대표적인 형상의 관성모멘트를 정리해보겠습니다.
기계 부품 설계나 동역학 문제에서 자주 등장하는 형태들입니다.
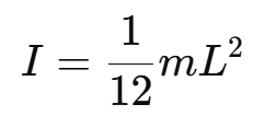
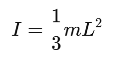
1) 막대(Rod)
- 회전축이 중심에 있을 때

- 한쪽 끝에 있을 때

2) 원판(Disk)

3) 고리(Ring)

➡ 같은 반지름, 같은 질량이라도 원판보다 고리가 회전하기 더 어렵습니다.
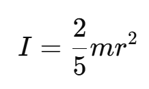
4) 구(Sphere)
고체구:

속이 빈 구:

➡ 속이 빈 구가 더 돌기 어렵습니다. 질량이 바깥쪽으로 몰려 있기 때문입니다.
🏠 일상 속 회전운동 예시
- 자동차 타이어
타이어가 크면 반지름 r이 커지고 → 관성모멘트 I가 커집니다.
→ 회전시키기 위한 토크가 더 필요해져 연료를 더 많이 쓰게 됩니다. - 문을 밀 때
문 가운데를 밀면 힘이 잘 안 들어가고, 손잡이를 잡으면 쉽게 열리죠?
토크 공식으로 보면 r이 크면 같은 힘으로도 더 큰 토크를 만들 수 있기 때문입니다. - 드럼세탁기 빨래 뭉침
빨래가 한쪽으로 몰리면 질량이 한쪽으로 쏠려 관성모멘트가 증가합니다.
→ 회전할 때 심한 진동이 발생합니다.

.
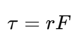
📌 회전운동의 기본 방정식
회전운동에서 가장 중요한 공식은 다음과 같습니다.


선형운동의 F = m·a와 구조가 유사합니다.
- 회전에서 힘(F)의 역할 → 토크(τ)
- 질량(m)의 역할 → 관성모멘트(I)
이해가 되면 회전운동이 훨씬 쉽습니다.
1️⃣ 관성모멘트 개념

2️⃣ 피겨스케이터 회전 예시

🗂 형상관성모멘트 특징

🏁 핵심 포인트
회전운동에서 중요한 것은 질량 자체보다 질량이 얼마나 멀리 퍼져 있는가입니다.
이 개념만 이해하면
- 자동차 바퀴 설계
- 드럼세탁기 진동
- 기계 회전체 설계
- 일상에서 느끼는 회전 힘 차이
모든 것이 훨씬 명확하게 보입니다.
마지막으로, 관성모멘트를 빠르게 익히고 싶다면,
평소 회전하는 물건을 질량이 어떻게 분포되어 있을까?”라는 관점으로 관찰해보세요.
생각보다 많은 것들이 눈에 들어오기 시작할 겁니다.